Hallo ihr Lieben!
Ich bin total verzweifelt. Ich muss, um zur Klausur im Februar zugelassen zu werden, eine bestimmte Anzahl an Punkten bei den vorherigen Einreichungsaufgaben erreichen und diese hier lässt mich irgendwie verzweifeln, obwohl ich anfänglich dachte, dass sie einfach klingt. Kann mir jemand von euch helfen? Ich bin eine komplette Java-Anfängerin und habe auch das erste Mal in meinem Leben Berührungspunkte mit der Informatik, deshalb ist es sehr dringend. Hier die Aufgabe:
Vervollständigen Sie das Programm!
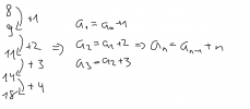
Gegeben ist folgende Zahlenfolge: 8, 9, 11, 14, 18, 23, 29, 36, 44, ...
Überlegen Sie, wie die nächste Zahl lauten würde. Nach welcher Regel wird jeweils die nächste Zahl berechnet?
Schreiben Sie eine Methode, die n Zahlen nach dieser Regel berechnet und auf der Konsole ausgibt. Die n-te Zahl soll zurückgegeben werden. n wird als Parameter an die Methode übergeben.
Beispiel: Wird als Parameter n=3 übergeben, wäre die Ausgabe: 8 9 11 und die Zahl 11 würde zurückgegeben werden.
Ich bin total verzweifelt. Ich muss, um zur Klausur im Februar zugelassen zu werden, eine bestimmte Anzahl an Punkten bei den vorherigen Einreichungsaufgaben erreichen und diese hier lässt mich irgendwie verzweifeln, obwohl ich anfänglich dachte, dass sie einfach klingt. Kann mir jemand von euch helfen? Ich bin eine komplette Java-Anfängerin und habe auch das erste Mal in meinem Leben Berührungspunkte mit der Informatik, deshalb ist es sehr dringend. Hier die Aufgabe:
Vervollständigen Sie das Programm!
Gegeben ist folgende Zahlenfolge: 8, 9, 11, 14, 18, 23, 29, 36, 44, ...
Überlegen Sie, wie die nächste Zahl lauten würde. Nach welcher Regel wird jeweils die nächste Zahl berechnet?
Schreiben Sie eine Methode, die n Zahlen nach dieser Regel berechnet und auf der Konsole ausgibt. Die n-te Zahl soll zurückgegeben werden. n wird als Parameter an die Methode übergeben.
Beispiel: Wird als Parameter n=3 übergeben, wäre die Ausgabe: 8 9 11 und die Zahl 11 würde zurückgegeben werden.
